E. Vold, B. Newman, K. Birdsell, B. Gallaher
D. Krier,
P. Longmire, D. Rogers, E. Springer
Los Alamos National Laboratory
Los
Alamos, NM
ABSTRACT
This study summarizes analyses used for the determination of representative recharge rates in a semi-arid terrain of complex topography for the purpose of modeling the performance assessment of a mesa top low-level radioactive waste disposal facility. Four recharge rates are identified based on different terrains. The terrain is first broadly grouped into canyon bottoms and mesa tops, with each covering about half the topography. The canyon bottoms are considered wet or dry depending on the local infiltration conditions and the influence of mans' activities. The mesa tops are separated into locations which are undisturbed and disturbed by laboratory operations. Disturbed locations at the disposal facility include the disposal pits utilized for shallow land burial of low-level radioactive waste, covering approximately half the mesa top area.
Several sources of data and analyses have been synthesized to estimate the resulting recharge rates. Data and analyses include:
The results indicate subsurface recharge rates of 5 cm/yr or more under wet canyons and 5 mm/yr or less under dry canyons. A complex flow is indicated under the mesa surface, with negligible liquid phase movement and a vapor dominated flux within much of the mesa volume under undisturbed conditions. However, the mesa recharge rate may be dominated by the disturbances from disposal operations. Data cannot yet be used to distinguish a difference in mean recharge rate through the disturbed and the undisturbed locations on the mesa top. The best estimate for recharge on the mesa is 5 mm/yr, although a range above and below this value are being considered in the site performance assessment.
INTRODUCTION
This study continues hydrogeologic analyses (1) in support of the site Performance Assessment (2) for the Low-Level Radioactive Waste (LLRW) disposal facility at Los Alamos National Laboratory, Area G. The recharge rate is a critical element of the site conceptual model and has a dramatic influence on the site performance regarding contaminant transport to the deep aquifer used as drinking water. Several analyses are summarized in this paper and are used to estimate the best set of recharge rates needed to characterize the local hydrology relevant to release from the disposal facility.
A cross-section (N-S) of the layered stratigraphic units beneath the long (W-E) and narrow (N-S) mesa top disposal facilities is sketched in Fig.1 (not to scale). The units within the mesa are highly fractured especially the upper most unit (to ~ 60 ft depth at most locations). Approximately 30 disposal pits which received low level waste have been backfilled with crushed tuff and covered with tuff and a top layer (~ 10 cm) of indigenous soil. Five pits are currently open and actively receiving waste. Existing pits are spread throughout the present 60 acre site, with the total disposal unit surface area occupying approximately half of the mesa top area. The canyon to the south of Area G mesa is considered a 'wet' canyon (perched aquifer) while the canyon to the north of the Area G mesa is dry. The topography and most subsurface units slope ~ 3% from the west down to the east.

Fig. 1. Sketch of the stratigraphy
cross-section underlying the disposal facilities at Area G. The figure
dimensions are not to scale; the mesa top to canyon floor distance averages
about 100 ft, the canyon floor to the water table is about 800 ft, the mesa
width varies from 400 to 1200 ft. The cross-hatched regions indicate the more
fractured stratigraphic units. The 'vapor flux region' is discussed in the text.
Numerical modeling of transport through the unsaturated zone from the disposal facility was initiated last year in a 2-D geometry similar to that shown in Fig.1 (3). This year's effort involves 3-D modeling and requires more detailed specification of the geometry, hydrologic properties and ground surface boundary conditions specified to match observed field conditions. Boundary conditions applied to the numerical computations specify a liquid moisture flux at the surface which propagates downward to the saturated zone at about 900 ft. Thus, the unsaturated zone transit time is effectively determined by this imposed surface recharge rate.
Data needed in the model include the van Genuchten hydrologic parameters
(4),
,
N,
res,
sat
and the unsaturated conductivity, Kunsat(
). The
mean values (and variance) for these parameters have been characterized for each
of the units shown in Fig. 1 using site-specific core data down through the
Otowi layer (5,6). Several of the on-going recharge analyses summarized here
utilize these 'stratigraphic-unit averaged values' even though it is known that
the hydrologic parameters are highly variable within each stratigraphic unit. It
is important to determine if model results using the mean values are consistent
with the fielddata, since it is these mean values used in numerical modeling of
the site performance. Initial hydrologic considerations reported last year (1,3)
indicated a best estimate for the recharge rate of 1 mm/yr through undisturbed
locations on the mesa, although the recharge rate varies considerably at
different locations and appears to vary with depth. The variations in recharge
indicate the possibility of significant lateral moisture movement at or below
the base of the mesa, vapor phase interactions within the mesa, or other effects
yet to be determined (7). These issues are explored in the analyses summarized
here.
ANALYSES
Mesa Top Locations
Detailed surface water balance calculations in the SPUR code (8) predict the near surface infiltration and percolation beneath the plant rooting depths, by parameterizing the important physics and relating these parameters to semi-empirical coefficients. Recharge, or a deep percolation rate, of 4-5 mm/yr was previously found (9) through a closed disposal unit at Area G. Subsequent efforts to refine the input parameter values and to examine the sensitivity of the percolation rate to the input parameters, shows that the model results are very sensitive to parameters over a range within their uncertainty.
Refining the precipitation estimate at Area G led to a greatly reduced infiltration (<1mm/yr) through the disposal units predicted by the model. This result, combined with a small runoff quantity in the surface water balance, implies evapotranspiration accounts for nearly all of the precipitation. However, field data for evapotranspiration from surface flux measurements at Area G (10) and preliminary analyses from eddy correlation meteorological data indicate the evapotranspiration may be several cm/yr less than the precipitation rate. This leads to the possibility that some or all of this water in the surface balance which is unaccounted for ends up as infiltration to the matrix or to the fracture network.
Profiles of chloride (Cl-) concentrations in samples taken from three boreholes at mesa top locations within Area G show the greatest concentration values throughout much of the 'mid-depths' of the mesa volume (11), as is evident in the profiles in Fig. 2 for borehole 54-1117. The high chloride concentrations correspond to estimates of the vertical flux which are negligible in this middle region. Specifically at Area G, the Cl ion data shows that in the near surface of the mesa to about 40', the recharge rate estimate is 3-6 mm/yr, below 40' to depths of ~70-80', the flux estimate is less than 1mm/yr, and near the base of the mesa (>80' depth) the recharge rate apparently increases to 5 mm/yr (11). This analysis indicates a moisture sink in the dry mid-depth region and a moisture source in the region near the base of the mesa.
Vertical moisture flux estimates have been made from several borehole moisture profiles using stratigraphic unit averaged hydraulic properties (7). These estimates are sensitive to local variations in moisture content and hydrologic properties, and to the averaging used to represent the wide distributions in hydrologic parameters from the field samples. An example is shown in Fig. 3(a) which indicates the liquid phase vertical flux in the same borehole, 54-1117.
This is a particularly dry borehole (located near the mesa edge) which strongly reveals the characteristics of a dry, vapor dominated flux region. There is negligible liquid flux throughout most of the profile, except near the moisture spike at the 1b-1a unit interface horizon identified as the 'vapor phase notch' (VPN), near 80 ft depth at this location (see Fig. 2(a)). In this region the flux is consistently upward and decreasing in magnitude above the moisture spike, while the flux is downward and decreasing in magnitude below the moisture spike at the unit interface. This curious behavior of moisture appearing to migrate vertically away from the moisture spike is seen in all the profiles taken through this interface at Area G (7). This behavior can also be seen in Fig. 3(a) which shows the vertical liquid flux and an apparent moisture source term (defined in (7) as the vertical gradient of the vertical component of flux) near the VPN in borehole 54-1117. The moisture profiles could also be consistent with vertical variations in hydrologic properties which remain as yet unresolved.
Profiles showing the magnitude of the liquid flux and the vapor flux derived using methods from (12) are shown in Fig. 3(b) for borehole 54-1117. It is seen that the vapor flux clearly dominates liquid flow from ~40 ft to 75 ft. This region agrees with depths where the chloride data increases (Fig. 2(a)), and where the chloride flux analyses indicate a small or negligible liquid recharge rate. In this dry borehole, vapor flux dominates over a majority of the profile. In similar analyses over several borehole profiles at Area G, it was determined that the vapor flux.

Fig. 2. (Top) Moisture and chloride
profiles in the mesa top monitor hole, 54-1117. (Bottom) Vertical moisture flux
derived from the moisture profile and stratigraphic unit averaged hydrogeologic
properties. 'Neg. of liq. flux' indicates points where liquid flux is downward,
'pos.liq.flux' indicates points where flux is upward.

Fig. 3. (Top) Vertical moisture flux
and moisture source in the region of the moisture spike (~80 ft) derived from
the moisture profile and stratigraphic unit averaged hydrogeologic properties.
(Bottom) Magnitudes of the derived liquid flux and the vapor flux in the mesa
top monitor hole, 54-1117 dominated region is very nearly half of the depth
profile through the mesa (12) and agrees closely at most locations with the
region where liquid flux is negligible (7).
This type of flux analysis was completed at several borehole locations at Area G (7), and shows that a complex flow is indicated under the mesa surface with the average downward liquid flux of 9 mm/yr (over a wide distribution) near the surface which decreases in magnitude down to about 30-40 ft depth where the liquid phase flux becomes negligible. Analyses indicate the vapor flux is significant, of magnitude ~ 2 mm/yr, only in a region coincident with this zone where the liquid flux is negligible. Below ~75-80 ft near the base of the mesa and the elevation of the adjacent canyons, the analyses indicate a possible source of moisture (as was seen in Fig. 3 ), although the data uncertainty also allows the possibility that there is a local horizon with unique hydrologic properties. A deep source of moisture is consistent with the chloride profile flux results near the base of the mesa.
Recent data provides matric characteristic curves and saturated conductivity for several borehole samples vertically traversing the vapor phase notch region beneath Area G. These data can be used to infer vertical flux implied by the Darcy equation with the matric potential at each field location rather than 'unit-averaged properties' as in the previous analyses. Preliminary review of these data concur there is a moisture source at the VPN, at the 1a-1b unit interface.
Additional analyses are made by matching field moisture data with the calculated moisture profiles for varying percolation inputs into a numerical model. This has been done both in a simplified unit gradient analysis and in detailed 2-D unsaturated transport computations (3) as reported last year (1). These results suggest the same three recharge rate regions under the mesa as discussed previously, and indicate a deeper fourth region with an increased moisture flux of about 1 cm/yr within the stratigraphic layers below the canyon floor elevations. The indicated recharge source near the base of and beneath the mesa may be lateral movement from canyons or from the west in the gently sloping stratigraphy. On-going 3-D computational studies are expected to shed some light on this issue.
Near surface soil moisture data was collected at over 200 sample points throughout Area G, and a distribution was determined (13). Using the average soil hydrogeologic properties, and assuming that a unit gradient condition exists, the distribution in moisture content can be expressed as a distribution in vertical flux calculated from the Darcy equation. This data indicate a negligible difference between locations on or off of the disturbed disposal unit covers and this forms the basis for specifying a single recharge rate on the mesa top. The data show a broad distribution in recharge over orders of magnitude, though it is difficult to interpret how the mean of the distribution is related to the actual recharge rate. The results are consistent with an estimate for recharge near 5 mm/yr.
Moisture profiles vertically transecting an open disposal unit (7) indicate a mean moisture content of 8-8.5% by volume, consistent with limited data from some earlier disposal units (9). The unsaturated hydraulic conductivity evaluated at this moisture content using properties for unit 2 of the Bandelier Tuff (used as disposal unit fill) is 5 mm/yr. This value sets the nominal recharge rate for the mesa top at this disturbed site. In this case, unit gradient conditions are assumed to apply after the vertical profiles relax to a mean value of moisture content.
Canyon Locations
Recharge to the adjacent canyons is needed in specifying the complete 3-D model input for the site performance assessment calculations and could be important beneath the mesa site if lateral flow is significant, as indicated under certain conditions in preliminary computational work this year (14). The results indicate subsurface recharge rates of 5 cm/yr or more under wet canyons (consistent with some tracer studies indicating relatively rapid transport beneath some canyon sites) and about 5 mm/yr under dry canyons.
At limited locations, there are matric characteristic curves and saturated conductivity values at several vertical borehole points, which allow a direct evaluation of Darcy's equation for the vertical moisture flux using the locally determined matric potential. This avoids the problem of choosing appropriate averages for the matric properties and is a more direct evaluation of the flux than other methods but is subject to large experimental uncertainty and local variations in the field data set. Results (15) within the mesa and beneath Canada del Buey (a dry canyon adjacent to Area G) are generally consistent with the flux results using the stratigraphic unit averaged properties to evaluate the potential and conductivity from the local moisture profile. The flux in Canada del Buey is about 5 mm/yr from either method using the geometric mean of the saturated conductivity and the moisture profile results in the Otowi layer, which is sufficiently deep that near surface effects are dampened out. Preliminary evaluation of chloride profile data at the Canada del Buey location suggests a smaller flux, ~0.5 mm/yr. The discrepancy is not fully resolved but the larger flux value is used as the 'nominal' boundary condition in the dry canyon adjacent to Area G for the numerical evaluation of the site in the Performance Assessment.
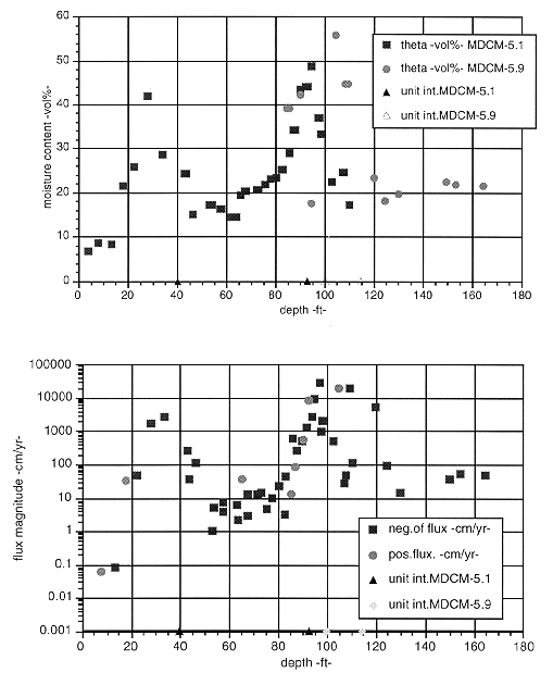
Moisture flux results for a 'wet canyon' location from the analysis using the moisture profile and stratigraphic unit average properties are shown in Fig. 4, using a composite profile from two boreholes (MDC-M5.1 and MDC-M5.9) in close proximity but with moisture data available over different depths. The derived fluxes are orders of magnitude larger than seen in the mesa top boreholes, and settle down to a deep infiltration rate in the Otowi member (the lowest depth unit in the Figures) of about 30-50 cm/yr. This flux estimate is presumed to be higher than a typical 'wet canyon' due to a nearby effluent discharge and because the mean saturated conductivites were used in this analysis. The geometric mean is assumed to represent a more appropriate average over non-stratified variations in hydrologic parameter values and is lower by a factor of two. Some tracer studies summarized in (5) indicate relatively rapid transport beneath some canyon sites. These results and in comparison to lower flux estimates from some canyon boreholes (15) indicate a recharge rate of 5 cm/yr is appropriate for the 'wet canyon' adjacent to Area G.

Fig. 4. (Top) Moisture content (theta
-vol%-) verses depth in colocated wells in Mortendad Canyon, MDC M-5.1 and MDC
M-5.9 (data from Ref.(5)). (Bottom) Vertical moisture flux verses depth in
colocated wells in Mortendad Canyon, MDC M-5.1 and MDC M-5.9 derived from the
moisture profiles and stratigraphic unit averaged hydrogeologic properties.
DISCUSSION
There are four separate analyses (1,7,11,12) which confirm a similar picture of hydrology within the mesa interior characterized by three vertically distinct regions. The three vertical regions include a near surface region to a depth of 10-60 ft (varying at different locations) where the mean vertical liquid phase flux ranges from about 0.5 cm/yr (by chloride profiles (11)) to about 1 cm/yr (7) and this value decreases with depth. The second region occupies the 'middle' half of the mesa interior, where liquid phase flux is negligible (7), or less than 1 mm/yr (11), and vapor phase flux dominates (12). The third region lies near the base of the mesa and is associated with a moisture spike in the vertical profile at the 'vapor phase notch' or interface between the vitrified (1a) and de-vitrified (1b) stratigraphic units.
Flux analysis from the moisture profiles in this third region indicate an apparent source of moisture at the 1a-1b unit interface with significant liquid phase movement (in the range of several mm/yr to several cm/yr) upward and downward from that plane. This is accompanied with evaporation (or other sink mechanism), which decreases the magnitude of the liquid flux going away from the interface plane (7). The chloride profile data shows the increased chloride concentrations extend from about this interface plane upward through the region where the vapor phase flux is seen to dominate, which is consistent with the assumption of a vapor flux drying this region and driving the local moisture flux upward towards the vapor dried region. Recent analysis shows the vapor flux within the mesa is anomalously large (16). The magnitude is consistent with that expected from a model for diffusion driven by barometric pumping in the presence of the effective permeability characteristic of the fractured mesa at Area G (17).
A possible physical mechanism for the apparent source at the VPN is lateral flow along the unit interface from the adjacent canyons (dominantly north-south flow) or from canyon sources to the west along the 3% slope from west to east of the stratigraphic units. Another possible mechanism is deep infiltration through fractures. This seems plausible at Area G where fractures are frequent above the vapor phase notch, and the depth from the mesa top is only 100 feet, but it seems less likely to account for the moisture spike seen at this unit interface throughout the plateau region, where the plane of the VPN is several hundred feet below the mesa top at some locations.
CONCLUSIONS
Hydrogeology beneath the mesa surface is complex and remains incompletely resolved, based on differences in recharge implications from surface water balance modeling, preliminary evapotranspiration data, and from the several geophysical profile analyses. The different geophysical analyses concur that there is a wide variability in recharge and that there appears to be three regions within the mesa with distinct recharge rates at different depths, implying a subsurface sink and a source for moisture at two different horizons.
Vapor phase transport and evaporation play an important role in reducing the tuff moisture content in the middle region within the mesa interior which thus reduces liquid phase transport through the mesa. Fractures are indicated to play a key role in this vapor flux and may also be important in transient liquid infiltration as far as the base of the mesa. The disturbed hydrologic conditions due to disposal operations may overwhelm the natural benefit of the vapor phase barrier to liquid transport. Data suggest recharge on the mesa top varies considerably with location but does not seem to depend on whether the location is on top of a covered disposal unit or an undisturbed area. A single best estimate of the average recharge on the mesa top at Area G is currently 5 mm/yr. The uncertainty in this value leads us to consider a range for the recharge about this nominal value in the site Performance Assessment.
Recharge to the canyons is estimated at 5 cm/yr beneath a 'wet canyon', (Pajarito Canyon to the south of the Area G mesa) and 5 mm/yr beneath the dry canyon (Canada del Buey) to the north of the Area G mesa. This canyon recharge rate will play a minor role in the site Performance Assessment provided there is negligible lateral moisture movement from beneath the canyons to locations beneath the disposal facilities on the mesa top. However, if lateral movement is significant, the transit time through the vadose zone beneath the mesa may be controlled by canyon recharge moving laterally beneath the mesa and then downward, rather than by the low recharge rate through the mesa itself. Additional field and computational study is needed to resolve these issues if they are critical to the performance outcome for the site.
ACKNOWLEDGMENTS
This work was supported by the U.S. Department of Energy, Waste Management Programs, as part of the technical analysis in support of the disposal site Performance Assessment for Los Alamos, Area G.
REFERENCES