Jin Yeong Yang and Kun Jai Lee
Department of Nuclear
Engineering
Korea Advanced Institute of Science and Technology
Kusong-dong, Yusung-gu, Taejon
305-701 KOREA
Kyung Yeong Yoo and Hee Geun Kim
Korea Power Electric
Research Institute
Munjidong, 103-16, Yusung-gu, Taejon
305-380, KOREA
ABSTRACT
Many nuclear power plants concentrate their efforts to the improvement and modification of their radioactive waste treatment system. Those needs are divided into development of new technology and development of operation efficiency. Concerned with the second need, we made use of a mathematical procedure which utilized a goal programming, and through it the optimal operation plan of the radioactive waste treatment system has been derived.
The ultimate object of our study is to minimize the release of radioactive material into the environment and to maximize the treatable amount of the generated wastes. In planning the practical operation of the system, however, the operating cost, process economics and technical flexibility must also be considered.
For dealing with these multiple criteria decision making problems, we used a goal programming which is a kind of multi-objective linear programming. This method requires the decision maker to set goals for each objective that one wishes to attain. A preferred solution is defined as the-one which minimizes the deviations from the set goals.
As a result of the optimization, the optimal state of the system operation is derived.
INTRODUCTION
Optimal operation of radioactive waste treatment system has been an important problem during the last several decades. A wide variety of techniques has been applied to solve this problem. Most of the approaches are based on cost benefit concepts, and the problems are formulated as an optimal search problem that can be defined mathematically by a set of cost function and constraints.
Generally, in linear programming, the cost function and constraints must be expressed in single dimension. But the optimization problem for radioactive waste treatment system involves various types of requirements and constraints which are composed of various kinds of dimensions such as cost, radioactive waste volume, dose, radioactivity, time and etc. And also in planning the practical operation, technical flexibility, utility saving and process economics must be considered. But these multiple objectives are conflicting with each other.
In this study, to treat this complex problem, a mathematical procedure will be presented through the plan of the system operation in a goal programming which is a kind of multi-objective linear program.
Goal programming was proposed by Charnes and Cooper (6) (1961) for a linear programming. It has been further developed by Ijiri (7), Lee (9), and Ignizio (9) et al (1970's). The method requires the decision maker to set goals for each objective that one wishes to attain. A preferred solution is defined as the one which minimizes the deviations from the set goals. The advantages of goal programming are that the decision maker does not need to give numerical weights for the objectives, that its objective function can be composed of not only a single dimension but also different dimensions such as weight, length, money, waste volume etc. and that objective criteria are not minimized or maximized directly as other linear programming, but the deviation variables from the set goals are minimized or maximized. As it were, the most striking characteristics of goal programming is that an optimal point which makes the best use of the restricted resources can be found.
The main purpose of this study is to demonstrate the potential of goal programming in the optimization for the operation of the radioactive waste treatment system which has multiple objectives and to present the guidelines for the application.
To apply goal programming the radioactive waste treatment system (Fig. 1 ) (5) of KUR (Kyoto University Research Reactor in Japan) and its data (5) are referred.

Fig. 1. Reference system.
MULTI-OBJECTIVE LINEAR PROGRAMMING
One of the most common difficulties obstructing the successful application of mathematical programming techniques to real problem is the presence of multiple criteria. In applying the technique to the radioactive waste treatment system, there also exist multiple criteria such as released activities, cost, technical flexibility, process economics and so on. The multi-objectives sought here are often conflicting with each other and in most cases, the relative weight of each parameter is difficult to assess priori.
When there are only two objectives, a commonly accepted approach is to compute numerically the relevant portion of the trade-off curve in criterion space and let the decision maker select the point which he most prefers. When the computation of the trade-off curve is onerous, or when there are more than two objectives, however, there is no general agreement regarding how to proceed. Numerous prescriptions have been offered, and these can be classified into interactive and non-interactive method. The latter method has been developed at early days, and due to the necessity that best compromised solutions must be within a feasible region, most of them are related to analysis of feasible solutions.
Goal Programming
Goal programming was proposed by Charnes and Cooper (6) (1961) for a linear programming. It has been further developed by Ijiri (7), Lee (8), and Ignizio (9) et al (1970's). The method requires the decision maker to set goals for each objective that one wishes to attain. A preferred solution is defined as the one which minimizes the deviations from the set goals.
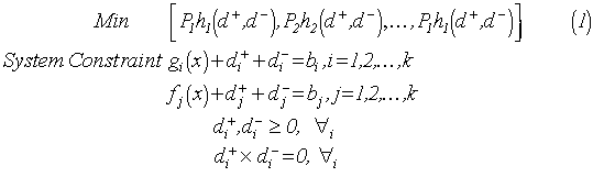
The most common form of goal programming formulation requires that the decision maker, in addition to setting the goals for the objectives, also be able to give an ordinal ranking of the objectives. The goal programming formulation of the vector maximization parameter for such a case is

where bj = 1, 2, ... k are the goals set by the decision maker for the objectives, di- and di+ are respectively the under-achievement and over-achievement of the i-th goal, hi (d-, d+), i = 1, 2, ...l are linear functions of the deviation variables and are called achieved functions. The Pi's are preemptive weights; that is Pi >>> Pi+l. This implies that no number, W, however large, can make W * Pi+1 > Pi. If any of fj(X) and gi(X) functions in above equation are nonlinear, the above equation becomes a nonlinear goal programming problem.
The solution algorithm for the above equation is that h1 (d-, d+) is minimized. Let min h1 = h1 *. Next h2 (d-, d+) is minimized, but under no circumstances can h1 be greater than h1*. Thus a lower ranking achievement function cannot be satisfied to the detriment of a higher ranking achievement function. This process continues until hl (d-, d+) is minimized. It is basically a modified simplex algorithm for linear problems.
The advantage of goal programming in the above equation is that the decision maker does not need to give numerical weights for the objectives. One needs to give only an ordinal ranking of them. However, this implies a value trade-off assumption: that in minimizing hi+1 (d-, d+), the value preference for hi over hi+1 is zero if hi < hi* and infinity if hi > hi* is the minimum value obtained for hi when (i-l) previous achievement functions have already been minimized. This value trade-off assumption is a very strong one and is very sensitive to the goal vector set, b, for the objectives and ordinal ranking given by the decision maker.
Characteristics of Goal Programming
SYSTEM MODELING AND OPTIMIZATION PROCESS
In order to carry out the optimization a feasible region must be determined, which is based on the system identification. In this study, system identification is based on the radioactive waste treatment system (Fig. 1) of KUR (Kyoto University Research Reactor in Japan), and modeled according to the Goal Programming method.
System Description
System Modeling
The ultimate objective is to find a optimal operation point which is to minimize the released radioactivity of liquid waste and to maximize the total treatable radioactive waste amount within the restricted conditions such as cost, water consumption, temporarily storage area of waste and so forth. Therefore, deviation variables are introduced as followings.
The floor area at the temporarily storage (TS) which is occupied for the temporary storage, is restricted by the following. 1/2 means that wastes are taken out to the outside every other six months for the long term storage.

Treatment cost, Ct, the disposal cost as a consignment fee for the temporarily stored wastes cost, Cd, and the cost of water, Cw, are assumed to change proportionality with their respective amount.

Water is consumed for cooling P-3, and P-4 and back washing at the P-2, while the cooling water is recycled at the P-3, it is spent without reuse at the P-4. Water is also used for storage at the DT-1, DT-2, DT-3 so as to meet the release criteria (below 10-1 µCi/m3 or 20-1 µCi/m3).

In these processes (DT-1, DT-2, DT-3) if the radioactivity of liquid waste is higher than the release limit of liquid waste (10-1 µCi/m3 or 20-1 Ci/m3), radioactive liquid waste is diluted to meet release criteria and released to the environment.

Application of Goal Programming Method
From Eqs. 2-5, it is possible to construct the objective function as followings:

In the above objective function (Eq. 6), Pi means the ordinal priority order and its meaning is that total cost must be fully used first because d2- has the first priority order. Next, d3- is minimized. It is unnecessary to consider di+ because di+ is the over value of the system constraints. The above objective function is set temporarily. Considering the 4 deviation variables, 24 (4!) objective functions with varying priority orders can be made.
RESULTS AND DISCUSSION
As aforementioned, the characteristics of the Goal Programming method has the capability to minimize the deviation variables (di-,di+) from the set goals. Through this technique, we were able to find an optimal operation point of the reference system, which makes the best use of the restricted resources.
To find the optimal operation point, the Authors assumed and varied three values: 1) total treatable radioactive waste volume, 2) release limit of radioactive liquid waste and 3) priority order. A nominal value of total treatable radioactive waste volume was assumed to be 532 m3/yr and varied from nominal value to 2 times as much as nominal value in this study. The release limit of radioactive liquid waste was also assumed to be varied from 10-3 µCi/m3 to 20-1 µCi/m3. 24 (4!) objective functions varied with the priority order were considered for each case.
As a result of calculation for all cases, the optimal operation point was as illustrated in Table I. In this case the total treatable radioactive waste is 2 times asµ much as nominal value and the release limit of radioactive liquid waste is 20-1 Ci/m3. The LLW routed to P-1 as well as P-2. Both the P-1 and P-2 are operated at the lowest rate (20m3/yr) and the highest production rate of sludge (5%). P-3 is operated at the lowest rate (2m3/yr) with the lowest production rate of slurry (2%). Although the release limit of liquid waste is lower than any other cases, the operation days, total cost, and storage area are reduced. All objective functions have the same results regardless of the priority order only at the optimal operation point.
Table I Total Treatable Radioactive Waste Volume: 2 x 532m3/yr.
Release Limit of Radioactive Liquid Waste: 20-1 µCi/m3

CONCLUSIONS
The Goal Programming method has capabilities to predict the optimal point at any given constraints as aforementioned. Although there are many constraints involved to solve the complex problem, the decision maker has a freedom to calculate the optimal operation point to satisfy its needs.
Considering the system efficiency, economic feasibility and technical flexibility, decision maker may accept the Table I as the optimal operation point of the reference system in all the cases because of two reasons: 1) the total treatable radioactive waste volume is maximized and 2) release limit of radioactive liquid waste is minimized. At the optimal operation point of the reference system, which makes the best use of the restricted resources, following conclusions are obtained:
REFERENCES
